Focus Research Areas of Departments
Department of Building Environment and Energy Engineering
Energy issues in the building and built environments will be addressed in the context of both demand and supply. Enhancing energy efficiency on the demand side by optimized design and smart control of energy systems, and the effective use of renewables on the supply side as well as the innovative use of waste for clean energy generation. Research topics include: robust and optimal design of building HVAC systems; optimal control of building HVAC systems; energy assessment/diagnosis of buildings with deficient high volume information (Big Data); demand management for smart grid; photovoltaic integration; hybrid solar-wind power generation; development of advanced renewable energy technologies; hybrid ground-coupled heat pump applications for air-conditioning in hot-climate region; highly dispersed nanocomposite for self-cleaning photovoltaic panels; green building nanomaterial and novel building envelope technology development; novel solar heat-reflective insulation material based on hollow glass micro-balloon cores with hierarchical porous rutile TiO2 coating; sustainable energy conversion and storage with emphasis on high temperature fuel cells for efficient energy conversion from biofuels or organic waste; planting techniques for enhancing CO2 absorption for urban rain gardens; technology development and economic feasibility of applying new urban bio-refinery to convert solids wastes derived lignocellulosic biomass into biofuels; low-carbon construction processes.
Research in this area has helped improve indoor and outdoor environments, such as HVAC systems to control indoor air temperature and humidity for thermal comfort and energy efficiency. Improving indoor built environments involves thermal, indoor air quality (IAQ), visual and acoustic aspects. Technology enabling ventilation and sound insulation has been applied in hostels, public housing estates and a private housing estate. For the best possible indoor environment at the least energy consumption, research needs to focus on developing innovative technologies and improving and integrating existing technologies. These include: precise control of indoor thermal parameters; novel ventilation strategy for improved IAQ at the lowest possible energy use; ventilation-enabling sound insulation technologies; novel indoor silencing devices; the use of daylight for energy saving and visual comfort etc. A fundamental understanding of human responses to light stimuli, including visual, non-visual, and behavioral responses, from psychophysical, physiological, and psychological perspectives, is also required. Enhanced wind and thermal comfort in the urban environment can be developed through computational modeling, new design tools and policy reviews. Multi-disciplinary sound quality assessment and improvement strategies for sustainable city design is another focus. This includes the improvement of total thermal, visual, air and sound quality of the neighborhood environment.

Research endeavours to improve the indoor environment.
With intelligent facilities in tall buildings, traditional aspects of building safety such as structural strength and fire resistance must also include newer concerns, such as interference of lightning bolts with electrical and electronic systems. To develop fire safety provisions for supertall buildings, fundamental studies on smoke movement are conducted. An earlier study of wind effects on fires in a supertall building has demonstrated that heat and smoke emitted from a fire in a supertall building would spread upward, with air entrained at lower levels. The structural response to fire is simulated to facilitate an understanding of the progressive collapse mechanisms of tall buildings in large fires that may spread over multiple floors. In collaboration with the Shenzhen Meteorological Bureau, a 362 m-high tower was installed with sensors and measuring systems to provide a unique experimental platform for researching the atmospheric environment, such as enabling the interaction of lightning with modern facilities to be investigated in real scale. As the actual lightning current is captured for testing, practical and effective techniques for protection of buildings against lightning can be developed. The mechanisms and process of fire ignition due to lightning current could also be investigated.

362 m-high tower with various sensors and measuring systems, aiming to form a unique experimental platform for the research of atmospheric environment including lightning and its effects.
Department of Building and Real Estate
This research area aims to create a safe, healthy, and productive environment (eSHAPE) for construction workers by developing anti-heat stress measures, detecting and mitigating noise hazards, profiling workers’ health, developing health and safety measures for workers exposed to silica dust in construction, and reducing the health risks of workers due to hazardous chemicals emission.
An anti-heat stress measure such as a construction uniform that provides better ultraviolet protection, better breathability and a faster evaporation rate of sweat has been developed for workers who have to toil in hot and humid conditions. Since its launch, the uniform has been adopted by the construction industry. Assessing the level of environmental and physical hazard exposures in the construction industry, and investigating the impacts of different types of chemical and physical hazards on the occupational health of construction workers will provide useful information for directing occupational health and safety (OHS) policy and measures, applying controls when and where appropriate, as well as informing construction workers about adverse health behaviors.


Anti-heat stress uniform for construction workers
This research area aims to develop digital solutions to ensure successful project delivery of construction projects with minimum time and cost, while maintaining high quality and reducing accidents. The emergence of digital technologies has the potential to drastically improve the project delivery processes. For example, Building Information Modelling (BIM) enables 3D representations of building components and processes. The Internet of Things (IoTs) facilitates information exchange between machines without the need for human intervention. Industrial robotics and 3D printing technologies can automate construction operations.

This research area aims to achieve sustainable urban development by conducting scientific studies at a whole range of levels, from industrial to city to districts, etc. A 3D spatial analysis of different plot ratio/building height (PR/BH) scenarios on urban skyline, visual effect, shadow and insolation, wind ventilation, and air temperature has enabled decision makers to formulate scientific and rational decisions for sustainable urban development. At the building level, an energy assessment system for new buildings and a unified decision support system for green retrofit in existing buildings have been developed. At the project level, a RFID-Enabled BIM Platform for Prefabricated Housing Production in Hong Kong has facilitated effective management of the supply chain in prefabricated housing production. This platform has been widely regarded as a very useful tool for information management by stakeholders in the supply chain, including the Housing Authority (the client), Gammon Construction (the contractor), and Wing Hong Shun (the façade supplier). Research in this area is primed to inform the construction of smart cities, which is the foreseeable trend of the future.
Department of Civil and Environmental Engineering
Traffic congestion, air pollution, and inclement weather are ongoing problems in many densely populated cities in Asia such as Hong Kong. Their impacts on economic productivity, network resilience, the environment, human health and safety are undeniable. However, due to the topography and the constraints of urban development in Hong Kong, further expansion of the existing road transport network is open to question. Smart and resilient transportation addresses the multi-modal transportation needs of society in a sustainable manner. The development of Intelligent Transportation Systems (ITS) is one of the essential steps towards smart and resilient transportation in Hong Kong’s congested transportation network under uncertainties.
This research area includes developing various advanced solution algorithms for data fusion of different real-time traffic sensor data, robust solution algorithms for on-line estimation of journey times, traffic speeds and traffic states in congested networks with uncertainties, reliability-based path finding algorithm for ITS applications, and computational methods for enhancing network resiliency. The results have contributed to the advancement of the relevant research fields, and at the same time have made significant impacts in Asian cities. Some of the robust solution algorithms developed have already been implemented in the ITS projects in Hong Kong and Bangkok. It is hoped that further research would improve the efficiency and resiliency of traffic systems together with the planning, design and operation of urban infrastructure.


The sustainability of urban infrastructure is an issue of great concern to all major cities and particularly high-density cities such as Hong Kong. Research in the area of Sustainable Materials and Structures aims to enhance the sustainability of urban infrastructure by minimizing the use of materials and resources (and hence the carbon footprint) per year of service for a given infrastructure project. Researchers from structures, pavements and concrete technology in CEE work synergistically with researchers outside CEE (e.g., researchers in material science, chemistry and computer science) to enable major advances in the area.
The infrastructural use of high-strength materials such as fiber-reinforced polymer (FRP) composites, high-strength steel and ultra-high performance concrete for a new generation of infrastructure has enabled huge savings in construction materials. Research on long-life infrastructure, through the use of high-durability materials and/or the use of advanced monitoring and retrofitting techniques, is another related aspect. In ensuring the long-service life of infrastructure, smart technologies are needed to equip our infrastructure with the ability to sense, respond to and recover from severe environments (e.g., marine environments) and extreme loadings (e.g., typhoons and earthquakes).
Despite the use of high-performance materials and advanced technologies to extend the life-span of infrastructure, any structure/facility will still have a finite life. Therefore, end-of-life strategies for demolition wastes form an important part of the sustainable infrastructure pursuit. How to recycle demolition and other wastes into new structures and useful products also belongs in this research area.

High-performance materials extend the sustainability of infrastructure
Deteriorating air quality, increasing amounts of wastewater and solid waste, and rapidly growing energy consumption have been major environmental problems in densely populated cities such as Hong Kong. These issues pose threats to human health and the ecosystem, and impede the potential for urban development. Owing to their extreme complexity and rising mitigation/treatment costs, the solutions to these issues remain elusive. The research area on Sustainable Urban Environment explores cost-effective pathways of development in theory and in practice for combating these environmental problems in urban cities.
The research area includes studies on the formation mechanism and abatement strategy of atmospheric pollution, the chemical and biological treatment of wastewater, the generation of energy by harnessing wastewater, wood and food waste, and the conversion of different types of waste to construction materials (e.g. Eco-block). The research findings have contributed to the formulation and evaluation of pollution control policies both locally and internationally (e.g., assessment of vehicular emission control and cross-border impact on air quality in Hong Kong and of air pollution mitigation measures during the Beijing Olympics); the Eco-block technology has been transferred to the private sector and it has been widely used in Hong Kong.

There are over 60,000 registered cut-slopes in Hong Kong, but there are numerous slopes in natural terrain in Hong Kong. Our research efforts are divided into hazard analyses of cut-slopes and their remediation, and hazard analysis and remediation of natural terrain in terms of debris flows. Fatal cut-slope failures have been rapidly reducing in recent years. Thus, the focus has been shifted to the study and monitoring of slopes in natural terrains.
Our efforts on geohazards and mitigation relating to landslides can be classified into two main domains: (1) theoretical, experimental and numerical analyses on landslides, rockfalls and debris flows hazards; (2) Field monitoring technologies for slope monitoring. First, numerical, theoretical, experimental analyses and field studies on debris flow, slope failures, rockfall and various innovative slope stabilization methods/materials were conducted at PolyU. Secondly, GIS, GPS, IOT, fibre optic sensors and cloud computing have been employed for slope monitoring in the last few years. Commercial software “Slope 2000” and “Slope3D” were developed and approved by the Buildings Department, and have been used in many large scale/ national projects all over the world. Recently, a Collaborative Research Fund was granted by RGC for building a large scale debris flow flume.


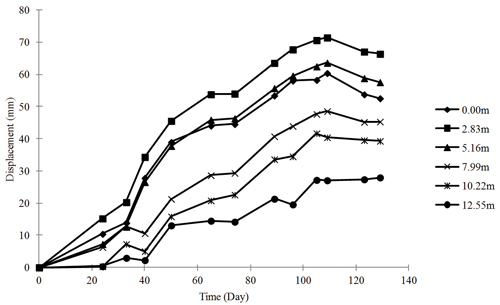
In-place inclinometers are being installed in a slope in Baichuan, Sichuan Province, China after the Great Sichuan Earthquake.

Lateral displacements with time at different depths at the slope.
Department of Land Surveying and Geo-Informatics
Navigation technologies are the core technologies to support a mobile internet, Location Based Services (LBS), and the Internet of things (IoT). Satellite based navigation systems (i.e. GPS, GLONASS, Beidou, and Galileo), as the backbone of navigation technologies, have become the fundamental infrastructure for national security and economic growth. Smart mobility is crucial for a smart city by reducing traffic congestion and pollutions, improving transfer speed and people safety, and reducing transfer cost. LSGI has conducted research on navigation technologies and smart mobility for more than 30 years. A Navigation Laboratory has been established since 1999. In recent years, research on key issues (i.e. GNSS signal shadowing, GNSS multipath, and seamless positioning) for urban positioning and navigation technologies has supported economic development in Hong Kong. As a satellite navigation system developed in China, Beidou has been integrated with other navigation systems to improve navigation performance in urban areas and to promote the applications of the Beidou system internationally. A public transport enquiry system has also been developed and adopted by the Transport Department for public use since 2010.
Spatial big data modelling and analytics is based on a) the emerging research topic of big data, especially spatial big data in the geographic information science (GIS) community, and b) the related research accumulation of LSGI in the areas of spatial, temporal and dynamic data modelling, and spatial analyses in GIS. The proposed focus will contribute to the research and development of urban informatics in smart city with respect to data modelling and analysis. Strategies for this research focus include (i) identifying the need for spatial big data modelling and analytics in the context of smart city development; (ii) forming an inter-disciplinary research team at PolyU on spatial big data analytics; (iii) applying for large research grants related to this research focus; (iv) developing solutions for spatial big data modelling for heterogeneous, multi-resolution sources of spatial data; (v) creating spatial data models for an integrated indoor and outdoor environment; (vi) proposing analytical methods for dynamic urban data; (vii) analyzing and predicting urban mobility and dynamic behavior based on spatial big data.
Research in this area has included urban heat island research, urban atmosphere monitoring, urban hazard monitoring, urban utility and infrastructure monitoring and management, urban 3D mapping, and 3D modeling for urban applications. The research prospect for the future will include (i) urban remote sensing for environment monitoring and modelling; (ii) urban remote sensing for hazard/deformation monitoring of urban infrastructures; (ii) urban underground utility monitoring and management; (iii) advanced photogrammetric hardware and software systems for near real-time 3D measurement of urban scenes; (iv) more automated 3D/4D city modelling with a high level of details from multiple-source remote sensing datasets; (v) developing a spatial data infrastructure for smart city development in Hong Kong.

The surface temperature of Kowloon peninsula and northern part of Hong Kong Island

Solar Energy Supply in Cloud-prone Areas of Hong Kong