When the Load Reverses: How Granular Materials Respond
Other Articles

Insights into Modelling Soil Behaviour Under Complex Stress Paths Through Advanced Probing Tests
Study conducted by Prof. Chao ZHOU and his research team

In geotechnical engineering, granular materials are often subjected to complex stress paths involving loading reversals, such as those induced by waves, traffic and earthquakes. Experimental studies have demonstrated that soil behaviour, particularly stiffness characteristics, can vary significantly during these reversals. Understanding and accurately modelling soil responses to loading reversal is of great engineering significance, especially in densely developed urban environments like Hong Kong, where construction activities require stringent control of ground movements to prevent damage to adjacent utilities and buildings. Gaining insights into how granular materials respond when the load reverses is also essential for developing reliable theoretical models and ensuring safe engineering practice.
The mechanical response of granular materials is highly nonlinear and it can change markedly during loading reversal, posing a challenge for conventional testing apparatuses to accurately capture these complex, subtle behaviours within short loading segments. To address this challenge, Prof. Chao ZHOU, Tsui Tack Kong Young Scholar in Civil Engineering and Associate Professor of the Department of Civil and Environmental Engineering at The Hong Kong Polytechnic University, and his research team have developed a novel approach to investigate these phenomena. The research study was published in Géotechnique [1].
Their method employs the Discrete Element Method (DEM) to conduct stress-probing tests on granular specimens subjected to loading reversal (Figure 1). The granular specimen is first sheared to the predefined stages and then loaded in the opposite direction. Subsequently, a series of DEM stress-probing tests is performed, in which several stress increments of equal magnitude but oriented in different directions are applied. Furthermore, the parallel-probe approach is utilised to decompose the measured strain into its elastic and plastic components, providing a more fundamental understanding of the material behaviour. Hence, this advanced experimental and modelling framework enables precise characterisation of granular material responses during loading reversals.

Figure 1. Novel methodology for investigating the response of granular materials under load reversal
Another important contribution of this work is that, by utilising the novel methodology described above, the results provide a valuable opportunity to critically evaluate various theoretical modelling approaches for soil behaviour under stress reversal. In particular, the concept of the projection centre is widely employed in theoretical models to account for loading history and to simulate soil responses during loading reversals. Three main modelling approaches are outlined below.
Model A: As illustrated in Figures 2(a) and 2(b), Model A typically fixes the projection centre at the initial stress state during loading. Upon reversal of the stress path, the projection centre is immediately relocated to the reversal point. This relocation effectively disregards the previous loading history, resulting in a change in the model response. Notably, during an unloading and immediate reloading cycle, this approach can cause the stress-strain curve to unrealistically exceed the continuation of the previous curve—a phenomenon referred to as the "overshooting" problem.
Model B: To address overshooting, Model B introduces a yield surface, as shown in Figures 2(c) and 2(d). After loading reversal, the projection centre remains fixed when the stress path moves within the yield surface. This constraint helps maintain continuity in the stress-strain response and mitigates overshooting.
Model C: A third strategy, depicted in Figures 2(e) and 2(f), allows the projection centre to evolve gradually rather than relocating instantaneously to the current stress state upon loading reversal. This gradual evolution provides a more realistic representation of the material’s memory and response to complex loading histories.
Until now, however, there has been no direct and robust experimental evidence to evaluate these modelling approaches. This gap has been successfully addressed through the new findings of this new study. By employing the novel experimental methodology, this research enables a rigorous assessment of the different theoretical models, providing valuable insights into their respective strengths and limitations in capturing soil behaviour under stress reversal.

Figure 2. Common strategies for relocation of the projection centre: (a), (b): Model A; (c), (d): Model B; (e), (f): Model C
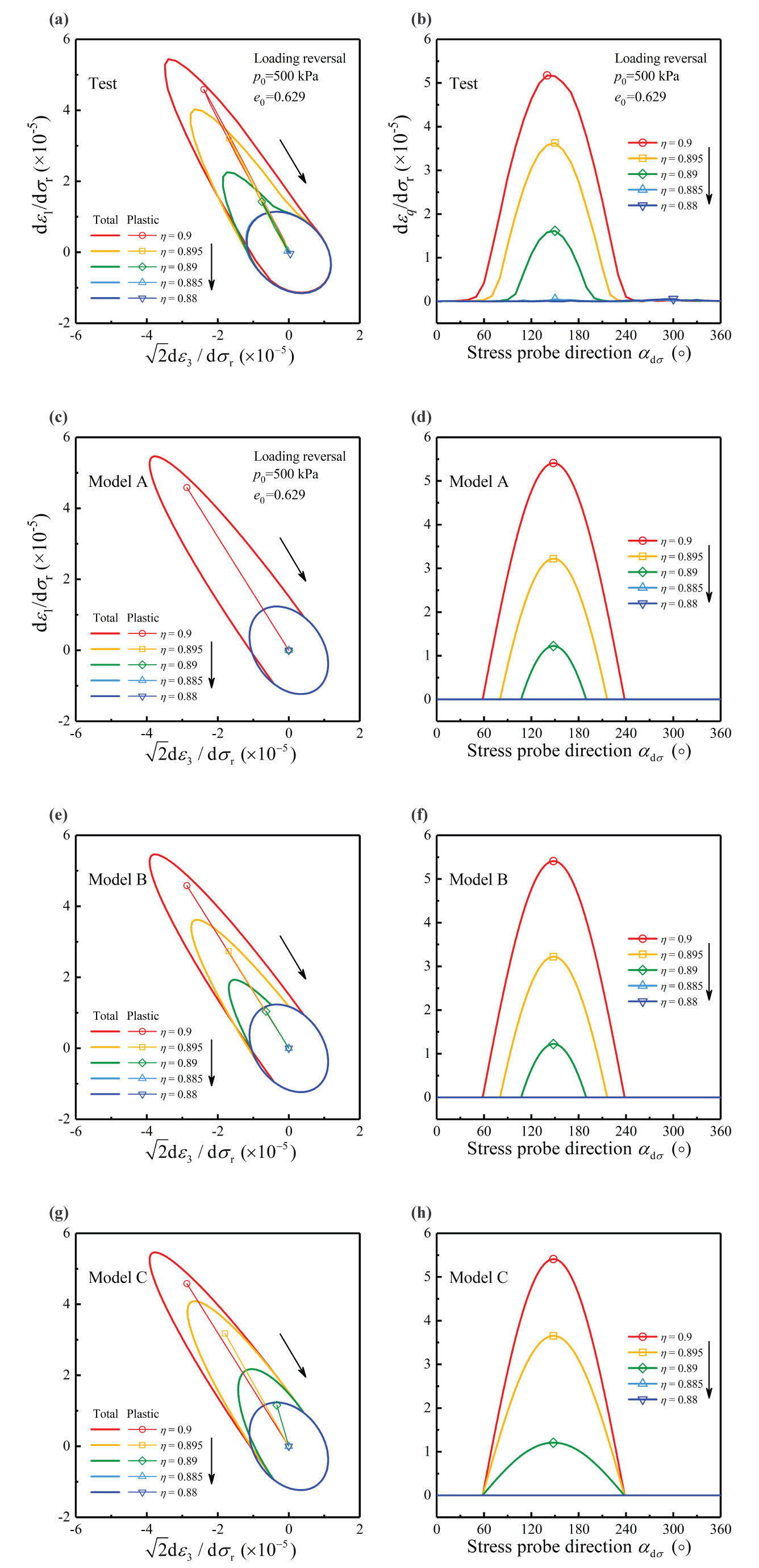
Figure 3 compares the test results with model predictions for the evolution of total and plastic strain response envelopes during loading reversal. In relation to the test results (Figure 3(a)), the direction of the plastic strain remains nearly unchanged upon loading reversal, while its magnitude gradually decreases and almost vanishes, suggesting a dramatic increase in the plastic modulus during this brief segment. Model A (Figure 3(c)), when applied under the same conditions as the probing tests, predicts an abrupt disappearance of plastic strain due to the immediate relocation of the projection centre, rather than the gradual decrease observed in the experiments.
Models B and C (Figures 3(e) & 3(g)) both successfully reproduce the gradual decrease in plastic strain magnitude during loading reversal, effectively addressing the limitation of Model A. For Model B, the stress moves inward toward the yield surface during loading reversal, resulting in a smaller range of stress probe directions that exceed the yield surface (Figure 3(f)), which is consistent with the experimental findings. In contrast, Model C does not replicate this phenomenon (Figure 3(h)), as the stress state remains on the yield surface boundary due to its zero elastic range.

Figure 3. Comparison between test results and model predictions during loading reversal: (a), (b) test results; (c), (d) Model A; (e), (f) Model B; (g), (h) Model C
In summary, this research has developed a novel method to investigate the response of granular materials to load reversal. The study provides valuable numerical test results that enable the evaluation of different theoretical modelling approaches. The findings clearly demonstrate that Model B, which incorporates an elastic range, can accurately reproduce all key observations from the probing tests under various conditions. This advanced experimental and modelling framework enables accurate characterisation of granular material responses during loading reversals, offering important insights for the development of more accurate theoretical models. Such models are essential for predicting ground movements and ensuring the safety and reliability of geotechnical structures, particularly in complex urban environments.
Prof. Zhou has been recognised by Stanford University as one of the top 2% most-cited scientists worldwide (single-year) in the field of engineering in 2025. He has also been the recipient of a number of prestigious awards, including the State Natural Science Award from the State Council of China, the Natural Science Award from the Chinese Society for Rock Mechanics and Engineering, the Huang Wenxi-Chen Zongji Geomechanics Youth Award from the Chinese Society of Theoretical and Applied Mechanics, and the Bright Spark Lecture Award from the International Society for Soil Mechanics and Geotechnical Engineering. In 2020, he was awarded funding from the Excellent Young Scientists Fund of the National Natural Science Foundation of China.
| References |
|---|
[1] Liao, D., Zhou, C.* and Yang, Z. X. (2025). Anatomy of incremental behaviour of granular materials induced by loading reversal: a stress probing analysis. Géotechnique, August 2025, https://www.researchgate.net/publication/394922289
![]() | Prof. Chao ZHOU Tsui Tack Kong Young Scholar in Civil Engineering and Associate Professor, |



