Skip to main content Start main content

A functional electrical stimulation (FES)-robot hybrid system for upper limb rehabilitation driven by voluntary intention

3_BME_17_0615_1

Rehabilitation Sleeve - An FES-Robot Hybrid System

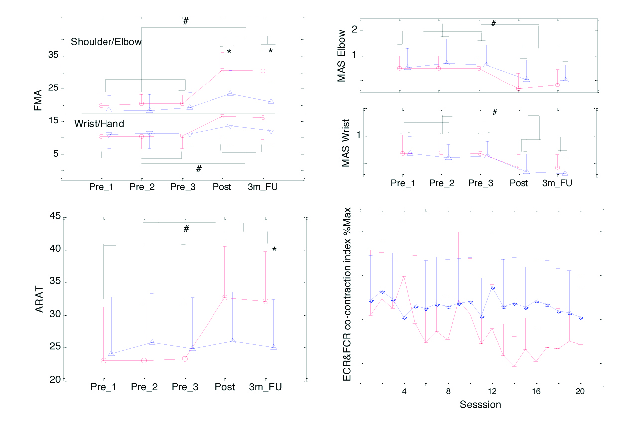
An electromyography (EMG)-driven electromechanical robot system integrated with neuromuscular electrical stimulation (NMES) was developed for multi-joint upper limb rehabilitation after stroke. This hybrid system successfully combines the advantages of EMG-driven robot and NMES and can achieve much more prominent recovery than using either technology alone in pilot clinical trials. The training device is equipped with a novel bracing system with moisture and pressure management function to improve the wearing comfort, especially for long-term usage. The device can also render user’s motions into mouse commands. When coupled with various computer applications, it diversifies rehabilitation training programmes, making patients more interested in the process and thus yielding better results.

Your browser is not the latest version. If you continue to browse our website, Some pages may not function properly.

You are recommended to upgrade to a newer version or switch to a different browser. A list of the web browsers that we support can be found here