Skip to main content Start main content

Hybrid robotic IoT for ankle-foot telerehabilitation after stroke

Fig1_956x1080

Mobile Ankle-foot Exoneuromusculoskeleton

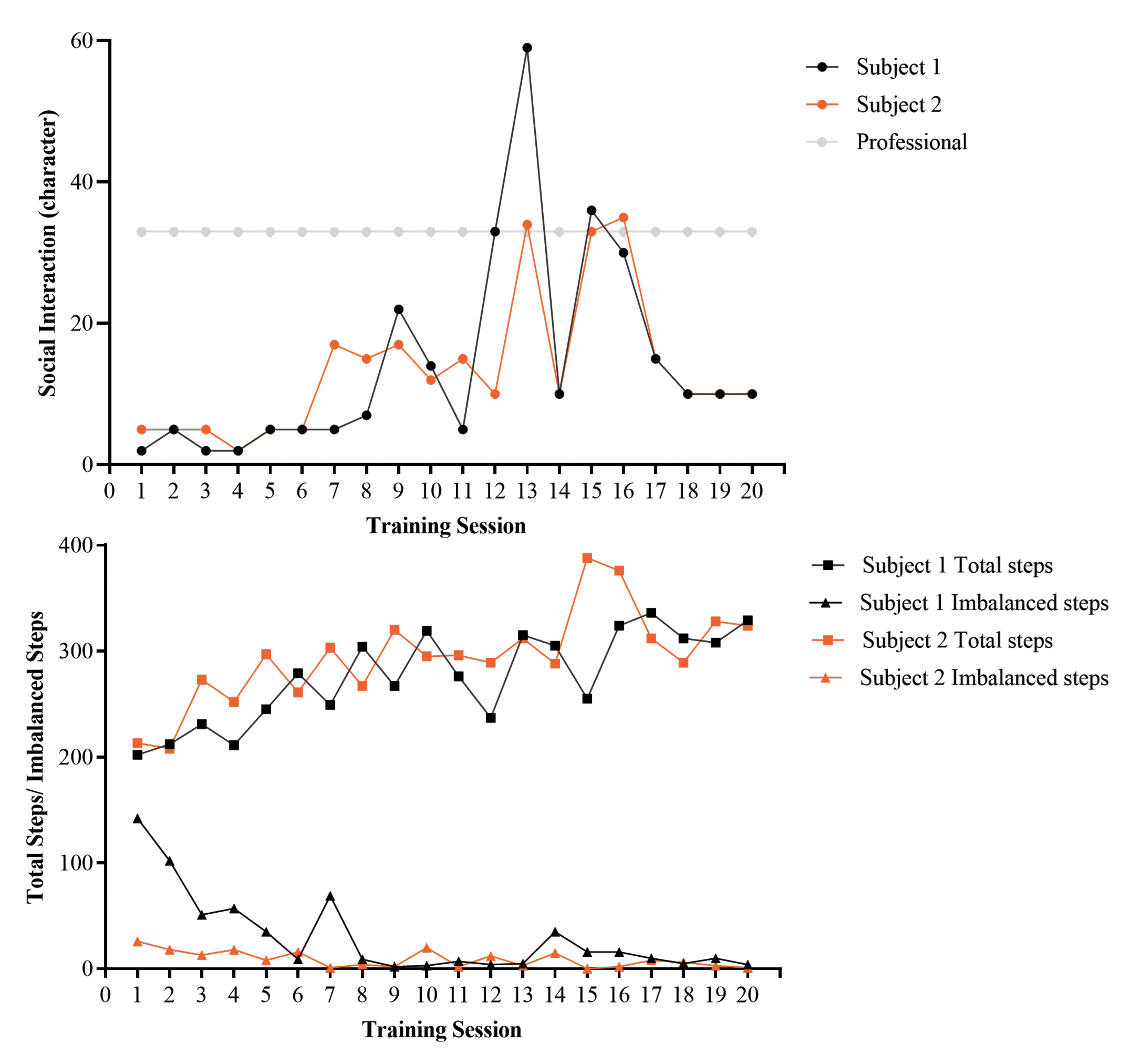
Long-term rehabilitation after stroke is challenging, because of insufficient professional manpower for one-to-one intervention manually, expanding stroke populations and disturbances to the traditional service in a pandemic. Mobile ankle-foot exoneuromusculoskeleton is a hybrid robot for poststroke ankle-foot rehabilitation. The robot integrates multi-modal advantages of exoskeleton, soft pneumatic muscle, neuromuscular electrical stimulation (NMES) and tactile sensory feedback in one system for a light-weight wearable design to correct poststroke foot-drop and foot-inversion effectively. The robot is an IoT device networking the professionals and multiple users in distributed locations for managing rehabilitation progresses and preventing drop-out in the training with incentive schemes.

Your browser is not the latest version. If you continue to browse our website, Some pages may not function properly.

You are recommended to upgrade to a newer version or switch to a different browser. A list of the web browsers that we support can be found here