
A team from the Department of Data Science and Artificial Intelligence (DSAI) (comprising Ph.D. student Mr HUANG Beichen, Prof. CHENG Ran, and Prof. TAN Kay Chen) has achieved a remarkable milestone by winning first place globally in the Multi-Agent Systems track of the prestigious AgentX International Competition. The event, hosted by the University of California, Berkeley, and supported by leading technology companies such as Google, Amazon, and Hugging Face, is one of the most prominent global platforms for advancing Large Language Model (LLM) agent technologies.

Overview of the the AgentX - LLM Agents MOOC Competition (Spring 2025)
The competition attracted nearly 1,000 teams from over 100 countries and 800 universities worldwide, including institutions such as UC Berkeley, Stanford, and CMU. After multiple rounds of rigorous evaluation by a judging panel composed of 28 experts from Google DeepMind, Meta FAIR, Nvidia, and other top-tier organizations, only 15 teams advanced to the final on-site Demo Day. The DSAI team was the only representative from China and emerged as the First Place in the most technically demanding category with their pioneering project, EvoGit.

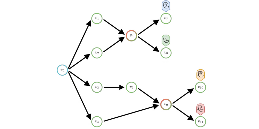
EvoGit constructs the evolutionary process of code as a Directed Acyclic Graph (DAG), on which
multiple agents collaboratively evolve and continuously develop.
EvoGit is a decentralized multi-agent framework that reimagines software development as a continuously evolving process rather than a static task. It models the development lifecycle as a directed acyclic graph (DAG) of Git commits, where multiple agents independently propose small code changes or structural crossovers and collaborate without relying on central schedulers or explicit communication protocols. This architecture enables self-organizing agent behavior, leading to a scalable and resilient development process. Built on standard Git infrastructure, EvoGit also supports seamless human-agent collaboration, allowing developers to inspect, intervene, and interact with the system using familiar version control tools.
📣For more information, please visit:
🧬 EvoGit Paper (arXiv)
💻 EvoGit Open Source Repository